Matthew McMullen

Email: mcmu@stanford.edu

Aerospace Computing Lab Aero/Astro Department Stanford University
Background
Education/Experience
Papers
Publications
Presentations
Posters
Research
NLFD Overview
NLFD-Cylinder
NLFD-Airfoil
NFLD vs Dual Time Stepping

Pitching Airfoils in Transonic Flows

This page compares numerical results produced by the NLFD code with results obtained from independently conducted experiments of a pitching airfoil rotating periodically about its quarter chord at a given frequency. Farfield quantities like angle of attack, velocity and thermodynamic properties of the fluid are held constant in time. Due to the transonic environment, the solutions will contain shock waves that move periodically with some phase lag to the angle of attack changes. The convergence of these results is assessed by surveys of spatial and temporal resolution based on global force coefficients.

The experimental data was published as part of AGARD report 702. Two different airfoils, the NACA 64A010 and the NACA 0012, were tested by Davis [S.S. Davis. NACA 64A010 (NASA Ames Model) Oscillatory Pitching. AGARD Report 702, AGARD, January 1982. Dataset 2.] and Landon [R.H. Landon. NACA 0012 Oscillatory and Transient Pitching. AGARD Report 702, AGARD, January 1982. Dataset 3.] respectively. Each study provides data for a variety of different test cases. This research uses only the priority cases containing the highest fidelity data published by each experimentalist. The important parameters used in the description of these priority cases are summarized in the table below.

Description Davis ExperimentLandon Experiment
AGARD Case Number Data Set 2
CT Case 6
Dynamic Index 55
Data Set 3
CT Case 1
Airfoil NACA 64A010 NACA 0012
Mean Angle of Attack0.0°2.89°
Angle of Attack Variation± 1.01°± 2.41°
Reynolds Number (millions)12.564.8
Mach Number 0.7960.6
Reduced Frequency 0.202 0.0808

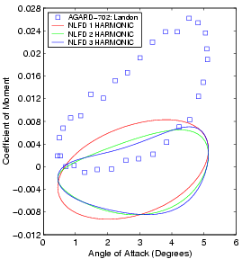
The figures below show both the numerical and experimental force coefficients as a function of the instantaneous angle of attack for the 0012 and 64A010 airfoils. For each grid, a subfigure shows several ellipses each computed using a different number of time varying modes.

Euler Simulations

These plots show that the variation in time varying coefficient of lift as a function of the temporal resolution is negligible, and that results convergent to plotting accuracy can be obtained using one mode. For both the coefficient of moment, and the time averaged component of the coefficient of lift, the agreement between the experimental and numerical results is poor, and will be improved by the addition of viscosity.

64A010 Test Case - 81x33 O-mesh
0012 Test Case - 161x33 O-mesh

Navier-Stokes Simulations

The most striking feature of the results is that they exhibit little variation over the range of temporal resolutions. The viscous and inviscid results are consistent in that one temporal mode provides a solution convergent to plotting accuracy. As in the case of the Euler calculations, significant variation is exhibited between the temporal resolutions in the results for the 0012 airfoil. In comparison to the Euler results, the addition of viscous terms improves the agreement between the numerical and experimental results. However, the 64A010 results show little variation as a function of temporal resolution indicating that one mode is adequate. In either case, the variation between the turbulent Navier-Stokes calculations and experimental results is still significant and should be a topic of further investigation.

64A010 Test Case - 193x49 C-mesh
0012 Test Case - 257x49 C-mesh

Included below are movies constructed from the solution of the 64A010 case. The movies are vizualizations of the pressure field using a variety of temporal resolutions.

1 Harmonic GIF

3 Harmonics GIF

5 Harmonics GIF

Last Modified: March 20 18:08:00 PDT 2003

webmaster@aero-comlab.stanford.edu