 |
Patrick LeGresley
Background
Doctor of Philosophy
Department of Aeronautics and Astronautics, Stanford University (1999-2005)
Master of Science
Department of Aeronautics and Astronautics, Stanford University (1998-1999)
Bachelor of Science
Department of Aerospace Engineering, University of Kansas (1994-1998)
Research Interests
Reduced Order Modeling
My research focuses on the development of reduced order models for use in design
and optimization. To be computationally feasible the order of some systems, such
as an aeroelastic system with millions of degrees of freedom, may need to be reduced.
I am currently investigating the use of Proper Orthogonal Decomposition (POD) as a
means to construct linear based models, with the ultimate goal of applying these
models to Aerodynamic Shape Optimization (ASO) and Multidisciplinary Design
Optimization (MDO) problems.
The preliminary work in this area has focused on applying these modeling techniques to the
2-D inviscid flow over an airfoil. For example, consider a model based on
flow solutions, or 'snapshots', of an airfoil at different Mach numbers:
In this case we have solutions at Mach numbers of 0.30, 0.40, 0.50, 0.60, and
0.70. The first three are entirely subsonic while the flow at Mach 0.60 has
a small shock and the flow at Mach 0.70 has a significant shock.
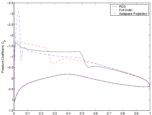
If we now use this data to reconstruct the flow at a new Mach number, such
as 0.67, using traditional POD the results are essentially useless:
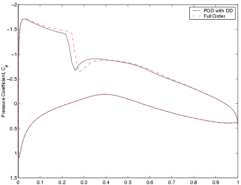
However, by combining a full order and POD solver we can decompose the spatial
domain of the problem and represent the majority of the problem with POD while
still solving the full order equations in a small subset of the domain. Here
is an example of this method applied to the Mach 0.67 case previously shown, with
a factor of five reduction in degrees of freedom from the original problem:
We are currently investigating the application of these types of order reduction
methods to multidisciplinary design, primarily as a means to reduce the bandwidth
of the coupling between multiple disciplines such as aerodynamcis and structures.
Aircraft Design
Here is a link to an AIAA student design project I was involved with:
Stanford Cardinal Design Project
Useful Links
Python- An interpreted, interactive, object-oriented programming language
Scripting Techniques for Scientific Computing
Numerical Python- Multidimensional arrays for Python
PyMat- Python to Matlab interface
Python VTK Pipeline Browser- Browse and modify objects in VTK pipeline
F2PY- Fortran to Python interface generator
Pyfort- Fortran to Python interface generator
pyMPI- Python implementation of MPI
HappyDoc- Extract documentation from Python source code
Style Guide- Guidelines for Python code
Intel® Compilers
Entertaining Links
Piled Higher and Deeper- Life as a grad student
Publications
2005 |
|   |
 |
  |
LeGresley, P. A.,"Application of Proper Orthogonal Decomposition (POD) to Design Decomposition Methods," Ph.D. Dissertation, Stanford University, October 2005. |
2004 |
|   |
 |   |
LeGresley, P. and Alonso, J.J., "Improving the Performance of Design Decomposition Methods with POD",10th AIAA/ISSMO Multidisciplany Analysis and Optimization Conference, AIAA Paper 2004-4465, Albany, New York, August 30 - September 1, 2004.
|
|   |
 |   |
Alonso, J.J., LeGresley, P., Van der Weide, E., and Martins, J., "pyMDO: A Framework for High-Fidelity Multi-Disciplinary Optimization",10th AIAA/ISSMO Multidisciplany Analysis and Optimization Conference, AIAA Paper 2004-4480, Albany, New York, August 30 - September 1, 2004.
|
2003 |
|   |
 |   |
LeGresley, P.A., and Alonso, J. J., "Dynamic Domain Decomposition and Error Correction for Reduced Order Models," 41st AIAA Aerospace Sciences Meeting & Exhibit, AIAA Paper 2003-0250, Reno, NV, January 6-9, 2003.
|
2001 |
|   |
 |
  |
LeGresley, P.A., and Alonso, J. J., "Investigation of Non-Linear Projection for POD Based Reduced Order Models for Aerodynamics," 39th AIAA Aerospace Sciences Meeting & Exhibit, AIAA Paper 2001-0926, Reno, NV, January 8-11, 2001.
|
2000 |
|   |
 |
  |
LeGresley, P.A., et. al., "1998/1999 AIAA Foundation Graduate Team Aircraft Design Competition: Super STOL Carrier On-board Delivery Aircraft," World Aviation Congress & Exhibition, AIAA/SAE Paper 2000-01-5535, San Diego, CA, October 10-12, 2000.
|
|   |
 |
  |
LeGresley, P.A, and Alonso, J.J., "Airfoil Design Optimization Using Reduced Order Models Based on Proper Orthogonal Decomposition," Fluids 2000 Conference and Exhibit, AIAA Paper 2000-2545, Denver, CO, June 19-22, 2000.
|
1999 |
|   |
 |
  |
LeGresley, P.A., et. al., "The Cardinal, A Graduate Team Aircraft Design," 1999 AIAA Graduate Team Aircraft Proposal, June 1, 1999.
|
Presentations
2005 |
|   |
 |
  |
LeGresley, P.A., "Application of Proper Orthogonal Decomposition (POD) to Design Decomposition Methods," Stanford University, Dissertation Defense, August, 25, 2005.
|
2004 |
|   |
 |   |
LeGresley, P. and Alonso, J.J., "Improving the Performance of Design Decomposition Methods with POD",10th AIAA/ISSMO Multidisciplany Analysis and Optimization Conference, AIAA Paper 2004-4465, Albany, New York, August 30 - September 1, 2004.
|
2003 |
|   |
 |
  |
LeGresley, P.A., and Alonso, J. J., "Dynamic Domain Decomposition and Error Correction for Reduced Order Models," 41st AIAA Aerospace Sciences Meeting & Exhibit, AIAA Paper 2003-0250, Reno, NV, January 6-9, 2003.
|
2001 |
|   |
 |
  |
LeGresley, P.A., and Alonso, J. J., "Investigation of Non-Linear Projection for POD Based Reduced Order Models for Aerodynamics," Stanford University, Department of Aeronautics and Astronautics, Industrial
Affiliates Meeting, April 25, 2000.
|
|   |
 |
  |
LeGresley, P.A., and Alonso, J. J., "Investigation of Non-Linear Projection for POD Based Reduced Order Models for Aerodynamics," 39th AIAA Aerospace Sciences Meeting & Exhibit, AIAA Paper 2001-0926, Reno, NV, January 8-11, 2001.
|
2000 |
|   |
 |
  |
LeGresley, P.A., et. al., "1998/1999 AIAA Foundation Graduate Team Aircraft Design Competition: Super STOL Carrier On-board Delivery Aircraft," World Aviation Congress & Exhibition, AIAA/SAE Paper 2000-01-5535, San Diego, CA, October 10-12, 2000.
|
|   |
 |
  |
LeGresley, P.A, and Alonso, J.J., "Airfoil Design Optimization Using Reduced Order Models Based on Proper Orthogonal Decomposition," Fluids 2000 Conference and Exhibit, AIAA Paper 2000-2545, Denver, CO, June 19-22, 2000.
|
|   |
 |
  |
LeGresley, P.A, and Alonso, J.J., "Airfoil Design Optimization Using Reduced Order Models Based on Proper Orthogonal Decomposition (POD)," Stanford University, Department of Aeronautics and Astronautics, Industrial
Affiliates Meeting, April 26, 2000.
|
|